Evolving spatiotemporal patterns and urban scaling of deaths from external causes

Abstract

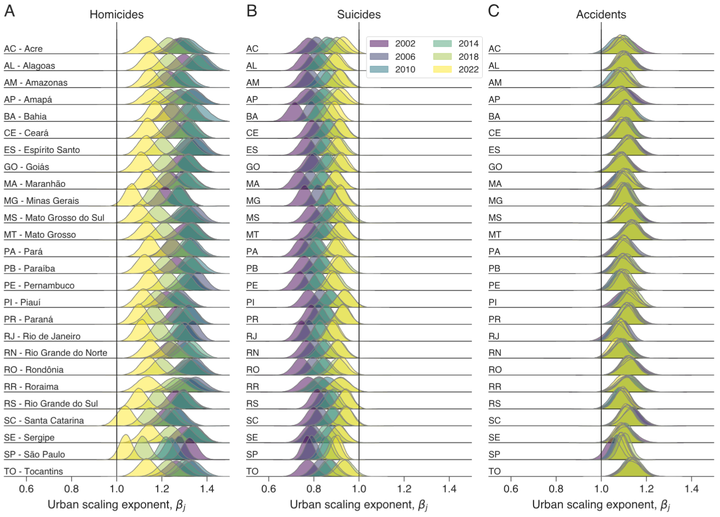
Urban scaling theory posits that urban indicators follow power‐law relations with population, yet the evolution of these patterns - and the role of regional differences in settings marked by social inequalities and unplanned urbanization - remains poorly understood. Here, we analyze nearly three decades of mortality data from Brazilian cities to investigate the scaling of external causes of death: homicides, suicides, and accidents. Using a hierarchical Bayesian framework and spatial correlation analysis, we find that these mortality indicators exhibit distinct, regionally heterogeneous scaling trajectories. Homicide mortality has significantly attenuated its typical superlinear scaling with increased spatial clustering, suggesting a redistribution of violence to smaller cities and intensified intercity interactions, possibly linked to the consolidation of organized crime. Suicide mortality, usually sublinear, has trended upward, implying a weakening of urban agglomerations' protective effect. Accident mortality remains superlinear, with transport fatalities scaling nearly proportionally, and non-transport accidents becoming superlinear. The scaling changes for suicides and accidents coincide with less correlated and stable spatial patterns, suggesting that the underlying processes predominantly operate within city boundaries. Finally, while scaling exponents have evolved more homogeneously across Brazilian states, scale-adjusted mortality remains highly heterogeneous, indicating that fundamental processes govern scaling laws, whereas state‐specific factors drive scale‐adjusted metrics.